工程之星5.0 平曲线电脑端编辑说明

     

     

     

     

     

     

     

     

     

     

     

     

    道路平曲线可以直接在电脑的SGO软件里面编辑,然后直接导入到H5手薄里面,这方法更方便、更快捷地导入测量参数。操作方法如下:

     

    第一步,在电脑上安装南方地理数据软件SGO,点击工具菜单栏,选择道路设计。

    工程之星5.0 平曲线电脑端编辑说明

     

    第二步,点击新建,输入一个工程名。

    工程之星5.0 平曲线电脑端编辑说明

     

    第三步,选择曲线输入的方法,有元素法、交点法、坐标法。根据图纸上面的曲线要素表输入一些必要的参数,一般情况选择交点法就可以。

    工程之星5.0 平曲线电脑端编辑说明

    工程之星5.0 平曲线电脑端编辑说明

     

    第四步,输入起点里程跟里程间隔(一般情况输入20)然后再点击增加,输入起点坐标。

    工程之星5.0 平曲线电脑端编辑说明

     

    输入后面的交点坐标,交点坐标注意输入图纸上给的参数,如果给的有缓和曲线长度跟缓和曲线起点半径,终点半径的要依次输入。如下图的就只用输入交点坐标跟圆曲线的半径。

    工程之星5.0 平曲线电脑端编辑说明

     

    第五步,输完曲线要素之后,点击道路设计结果,查看点名坐标能否跟图纸上的对应得起来。

    工程之星5.0 平曲线电脑端编辑说明

    工程之星5.0 平曲线电脑端编辑说明

     

    第六步,点名、坐标都能跟图纸上对应的起来之后,点击软件上方的另存为图标,输入文件名把保存类型修改为交点法设计文件ip的格式,点击确定。

    工程之星5.0 平曲线电脑端编辑说明

     

    第七步,打开H5手簿,把道路设计文件复制进去,点击手簿的工程之星5.0软件,点击“输入”菜单栏,选择“道路设计”,导入选择文件类型为ip工程之星mobile3.0,找到道路文件,点击道路文件名。

    工程之星5.0 平曲线电脑端编辑说明
    工程之星5.0 平曲线电脑端编辑说明
    工程之星5.0 平曲线电脑端编辑说明

     

    然后在测量道路放样中打开即可。

    工程之星5.0 平曲线电脑端编辑说明
    工程之星5.0 平曲线电脑端编辑说明

     

     

     

     

    工程之星5.0 平曲线电脑端编辑说明
    cors
    工程之星坐标系统的设置教程 工程之星5.0教程

    工程之星坐标系统的设置教程

    新建工程之后,有不少朋友会卡在工程之星坐标系统设置上,坐标系统名称选哪个?中央子午线怎么设置?校正参数什么时候用......今天,我们一起来看一看工程之星坐标系统设置。   打开工程之星,点击配置→坐...
    工程之星平曲线设计方法 工程之星5.0教程

    工程之星平曲线设计方法

                                                    工程之星5.0“道路设计”功能是道路图形设计的简单工具,即根据线路设计所需要的设计要素按照软件菜单提示录...
    RTK道路放样详细教程 工程之星5.0教程

    RTK道路放样详细教程

                                                  RTK道路放样功能一直是工程应用的一个热点,却也是难点,从前期的道路设计到后期的道路放样,都要学好、做好,我...
    工程之星5.0 设置测区范围 工程之星5.0教程

    工程之星5.0 设置测区范围

    功能简介:工程之星5.0测区设置是对测量作业区域的提醒设置,使测量人员能够更加直观的查看作业范围。 1.功能设置入口 打开工程之星5.0,点击“配置”-“系统设置”。下滑页面可以看到“测区范围”使用开...
    工程之星CAD放样说明 工程之星5.0教程

    工程之星CAD放样说明

    工程之星5.0最新版本 1.03.200918 (1)CAD放样模块升级,支持屏幕箭头精准捕获坐标,提升导入速度,新增图层管理、块炸开等功能。 (2)升级电力模块功能,支持xyh、南方CASS等格式,...
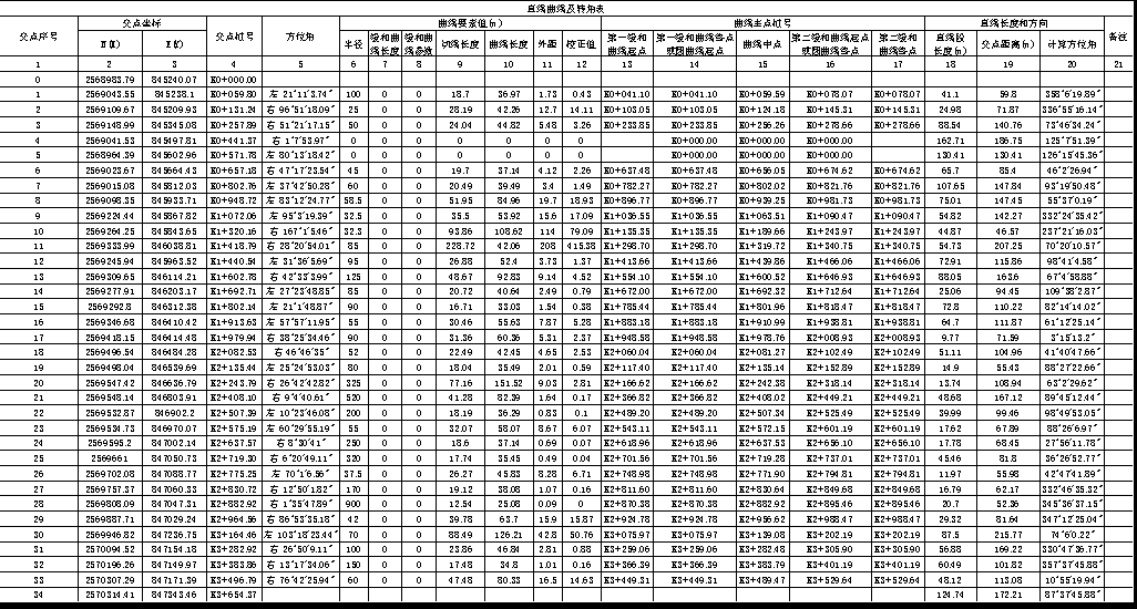
    工程之星5.0直曲表导入说明 工程之星5.0教程

    工程之星5.0直曲表导入说明

    RTK在不断优化,软件设计越来越人性化、简单化的趋势下,用更短的时间做出更多的成果已经是每个软件追逐的目标,工程之星5.0中,直曲表导入常见问题和解决方法如下:    图1   直曲表导入的标准格式如...
    匿名

    发表评论

    匿名网友

    :?: :razz: :sad: :evil: :!: :smile: :oops: :grin: :eek: :shock: :???: :cool: :lol: :mad: :twisted: :roll: :wink: :idea: :arrow: :neutral: :cry: :mrgreen: